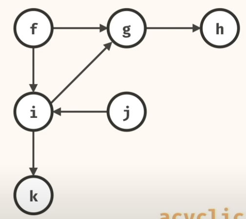
Acyclic graph is a type of graph that has no cycles. it means that there is no option that while traversing through the graph, you will end up in an infinity loop, so there’s no need to track which nodes you’ve visited.

Acyclic graph is a type of graph that has no cycles. it means that there is no option that while traversing through the graph, you will end up in an infinity loop, so there’s no need to track which nodes you’ve visited.
