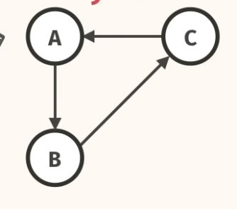
It is a type of graph that has cycles. It means that there are some connections in a graph, that may allow an infinity loop to happen due to directions (or lack of) between nodes. To avoid an infinity loop, you have to have a list to keep track of the nodes that you’ve already visited.
